CSS Current Affairs Past Papers PDF
Download the CSS Current Affairs Past Papers PDF 2021 instantly, packed with strategic, political, and global topics. Explore key questions like the Afghan Peace Deal, AI militarization, and more, all explained simply for your CSS prep.

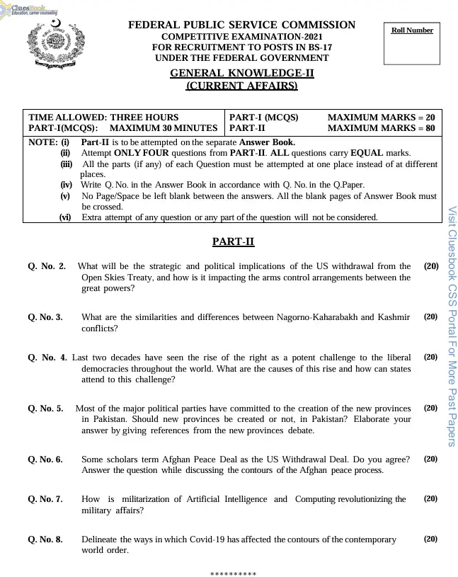
Download CSS Current Affairs Past Papers PDF 2021
If you’re preparing for the CSS exam, the CSS Current Affairs Past Papers PDF 2021 is an essential tool. This PDF contains the official CSS Current Affairs paper from 2021, which is part of General Knowledge Paper II. You can download it directly from this blog and use it to analyze the question patterns, prepare answers, and understand the examiner’s focus areas.
About the CSS
The CSS (Central Superior Services) Competitive Examination is a rigorous federal level test administered by the Federal Public Service Commission (FPSC) to select candidates for prestigious civil service roles across Pakistan. The exam’s rules and regulations, covering age limits, eligibility, subjects, and quotas, are detailed in the official CSS Rules section on the FPSC’s website.
The CSS Exam Rules, issued by FPSC Pakistan, outline eligibility criteria, age limits (21–30 years), and a maximum of three attempts for candidates. The exam includes written tests, a medical exam, a psychological assessment, and an interview. Rules also define quotas, disqualification grounds, and subject selection for a fair recruitment process.
What Makes This PDF Valuable?
This isn’t just any document; it’s your blueprint to success in the Current Affairs section. Here’s what it offers:
- Full 3-hour exam paper
- MCQs Section (20 Marks) + Descriptive Section (80 Marks)
- Real questions from FPSC, a perfect practice set
- Covers a wide range of global and national issues
Key Topics Covered in CSS Current Affairs Past Papers PDF 2021
Here’s a breakdown of what you’ll find in the paper and why it matters:
US Withdrawal from the Open Skies Treaty
- Impact on global arms control
- Strategic shifts between world powers
Nagorno-Karabakh vs Kashmir Conflict
- Comparative geopolitical analysis
- Learn how to present similarities and differences clearly
Rise of the Right Wing in Global Politics
- Why authoritarianism is growing
- Implications for liberal democracies
Debate on Creating New Provinces in Pakistan
- Federalism, governance, and national unity
- Insight into internal political restructuring
Afghan Peace Deal: A U.S. Exit Strategy?
- Is it peace or a planned pullout?
- Understand the core of regional geopolitics.cs
Militarization of Artificial Intelligence
- Role of AI in modern warfare
- The computing revolution in defense strategy
Post-COVID Global Order
- New trends in diplomacy, economy, and power distribution
- How pandemics reshape world systems
Why You Should Use This PDF for Preparation
- FPSC Authentic Paper:Â Trustworthy and relevant
- Concept-Based Questions:Â Ideal for critical thinking
- Answer Practice Opportunity:Â Attempt real past paper questions
- Broader Global Themes:Â Helps with IR, Current Affairs & Essay
The CSS Current Affairs Past Papers PDF 2021 gives you a genuine look at how real questions are framed. Whether it’s U.S. treaties, regional conflicts, or AI in the military, this paper challenges your understanding of the world.
Download it now and start preparing with real insight.
